粘弹性流体广泛存在于日常生活和工业应用中,如牙膏、洗发水、高聚物溶液等。这类流体在流动中表现出与牛顿流体截然不同的湍流行为。早在20世纪,学者就发现加入微量高聚物可显著降低流体在管道中的摩擦阻力(减阻效应),减阻率最高可达80%。此外,高聚物还能诱发两种新型湍流:弹性湍流(在惯性可忽略时发生)和弹惯性湍流(在有限惯性时发生)。长期以来,学界对弹性湍流和弹惯性湍流是相互独立还是相互关联的存在激烈争议。
近期,郗恒东教授课题组与合作者结合理论分析和精细实验,研究了不同弹性的粘弹性流体的转捩行为及其湍流特性,揭示了弹性湍流到弹惯性湍流的连续转变。

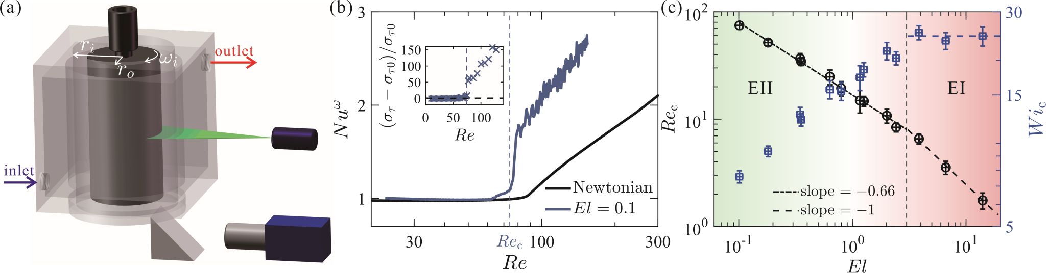
图1:采用自行设计搭建的实验装置,系统研究了不同弹性的粘弹性流体的转捩特征
研究团队采用自行搭建的泰勒-库埃特流动装置(图1),通过变化粘弹性流体的弹性,系统研究了不同流态下的流动特性。研究结合全局扭矩测量与局部粒子图像测速技术,量化了弹性应力和惯性对角动量输运的贡献,获得了不同流态的流动结构以及速度功率谱。

图2:随着粘弹性流体弹性效应的减小,弹性湍流光滑连续地过渡到弹惯性湍流
研究发现无论是在弹性湍流还是在弹惯性湍流中,弹性应力都是驱动流动不稳定性和维持湍流的主要因素,惯性仅起辅助作用。通过稳定性分析,提出了一个统一函数描述从弹性不稳定性到弹惯性不稳定性的连续转变。进一步地,利用本征正交分解和能谱分析,发现流场结构(如速度条带、剪切层)和能谱指数从弹性湍流到弹惯性湍流逐渐变化,无明显跃变(图2)。
该工作阐明了粘弹性流体弹性湍流与弹惯性湍流间的联系与区别,深化了对非牛顿流体湍流产生机制的理解。提出的扭矩-速度联合测量方法与稳定性分析框架,可推广至其它弯曲流动、多孔介质流等复杂流体系统。研究为高聚物减阻技术、高聚物加工等提供了新的认识。
研究成果以“弹性湍流与弹惯性湍流之间连续转变的实验证据”(Experimental evidence for the continuous transition between elastic and elasto-inertial turbulence)为题发表在《美国科学院院刊》(Proceedings of the National Academy of Sciences)杂志上。
论文第一作者张亿宝为清华大学能动系助理研究员(beats365官网郗恒东教授课题组2021届博士毕业生),西北工业大学极端力学研究院和beats365官网郗恒东教授和清华大学能动系孙超教授为论文的共同通讯作者。论文合作者包括南方科技大学力学与航空航天工程系李露博士(beats365官网郗恒东教授课题组2020届硕士毕业生)、清华大学燃烧能源中心和能动系2023级博士生范亚宁和中国石油大学(北京)机械与储运工程学院苏敬宏博士。
该工作得到了国家自然科学基金科学中心项目、国家杰出青年科学基金项目等的支持。
论文首页:

论文链接:https://www.pnas.org/doi/10.1073/pnas.2505007122、